Airport Name and ICAO/IATA Code
Krasnoyarsk International Airport (ICAO: UNKL / IATA: KJA)
Location (City, Country)
Russia, Krasnoyarsk
Airport Type & Size
Krasnoyarsk International Airport (Yemelyanovo)
Krasnoyarsk Airport is one of the largest airports in Russia in terms of international cargo operations and the biggest airport in Central and Eastern Siberia.It has an Class “A” airfield and is rated 4F under ICAO classification.
The airport can handle 24 movements per hour.
It also serves as an ETOPS alternate on transcontinental routes between North America and Europe to Asia.Runway:
11/29 – 3,700 × 60 m
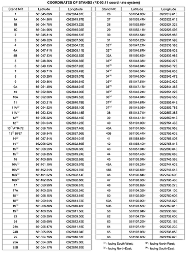
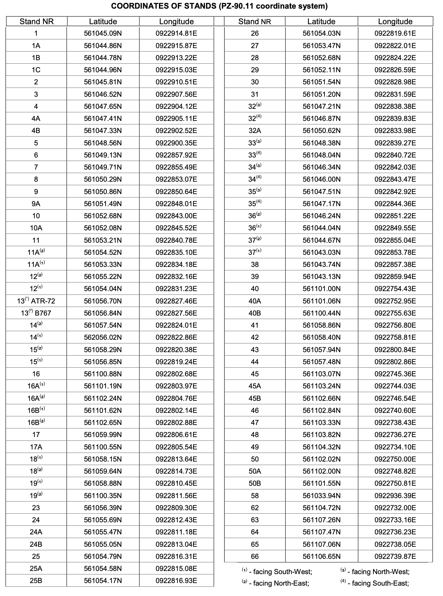
(The runway dimensions including the adjoining lateral and end safety areas are 4,500 × 60 m.)The airport has 63 aircraft stands, including:
• Six stands for Boeing 777F
• Six stands for Boeing 747-400F
• Four stands for Boeing 747-8FPassenger Terminal
• Six passenger boarding bridges
• Throughput capacity: 1,302 passengers per hour, or 2.5 to 5 million passengers per year
Why should this airport be added to World of Airports?
• It can also be used as one of the “Generic Airports” in this region.
Major Airlines & Routes
It serves as a hub for:
• Aeroflot
• Rossiya Airlines
• NordStar
• Ikar (formerly Pegas Fly)
• Azur Air
• KrasAviaAirlines operating services at the airport:
• Ural Airlines
• NordWind Airlines
• IrAero
• Yakutia AirlinesAirlines with scheduled flights:
• Pobeda
• RusLine
• S7 Airlines
• UTair
• Yamal Airlines
• UVT Aero
• Aurora
• Azimut
• SmartAviaForeign carriers:
• VietJet Air
• Somon Air
• Uzbekistan Airways
• Shirak Air
• Southwind Airlines
• SCAT AirlinesPreviously operated:
• Lufthansa Cargo
• AirBridgeCargo
• Volga-Dnepr Airline
• All Nippon AirwaysAdditional Information
Domestic Flights Information
*With the addition of a new airport, local airports for domestic flights are also included. I have compiled some data on the routes and characteristics of each airport, including the types of aircraft they can accommodate (using Wiki and other sources).List of airports:
| Airport | IATA | ICAO | Runway (m) | Width (m) | Airport Type |
|---|---|---|---|---|---|
| ABAKAN | ABA | UNAA | 3250 | 45 | 4D |
| APATITY | KVK | ULMK | 2500 | 42 | 4D |
| ARKHANGELSK | ARH | ULAA | 2500 | 44 | 4E |
| ASTRAKHAN | ASF | URWA | 3200 | 45 | 4E |
| BARNAUL | BAX | UNBB | 2850 | 50 | 4E |
| BLAGOVESHCHENSK | BQS | UHBB | 3000 | 45 | 4E |
| CHEBOKSARY | CSY | UWKS | 2512 | 49 | 4D |
| CHELYABINSK | CEK | USCC | 3200 | 60 | 4E |
| ELISTA | ESL | URWI | 2200 | 45 | 4D |
| GELENDZHIK | GDZ | URKG | 3100 | 45 | 4D |
| GORNO-ALTAYSK | RGK | UNBG | 2300 | 45 | 4D |
| GROZNY | GRV | URMG | 2500 | 53 | 4E |
| IRKUTSK | IKT | UIII | 3564 | 45 | 4D |
| IZHEVSK | IJK | USII | 2500 | 45 | 4D |
| KALININGRAD | KGD | UMKK | 3350 | 45 | 4E |
| KAZAN | KZN | UWKD | 3750 | 60 | 4E |
| KEMEROVO | KEJ | UNEE | 3200 | 60 | 4E |
| KHABAROVSK | KHV | UHHH | 4000 | 60 | 4E |
| KHANTY-MANSIYSK | HMA | USHH | 2800 | 45 | 4D |
| KIROV | KVX | USKK | 2700 | 49 | 4D |
| MAGADAN | GDX | UHMM | 3452 | 59,5 | 4E |
| MAGAS | IGT | URMS | 3000 | 45 | 4D |
| MAGNITOGORSK | MQF | USCM | 3250 | 45 | 4D |
| MAKHACHKALA | MCX | URML | 2640 | 45 | 4D |
| MINERALNYE VODY | MRV | URMM | 3900 | 60 | 4E |
| MURMANSK | MMK | ULMM | 2500 | 42 | 4D |
| NABEREZHNYE CHELNY | NBC | UWKE | 2506 | 42 | 4D |
| NALCHIK | NAL | URMN | 2200 | 42 | 4D |
| NIZHNEVARTOVSK | NJC | USNN | 3200 | 60 | 4E |
| NIZHNY NOVGOROD | GOJ | UWGG | 2805 | 45 | 4D |
| NOVOKUZNETSK | NOZ | UNWW | 2680 | 45 | 4D |
| OMSK | OMS | UNOO | 2500 | 45 | 4D |
| ORENBURG | REN | UWOO | 2501 | 42 | 4D |
| ORSK | OSW | UWOR | 2900 | 42 | 4D |
| PENZA | PEZ | UWPP | 2800 | 45 | 4D |
| PERM | PEE | USPP | 3200 | 49 | 4D |
| PETROPAVLOVSK-KAM. | PKC | UHPP | 3400 | 60 | 4E |
| ROSTOV-ON-DON | ROV | URRP | 45 | 4E | |
| SAMARA | KUF | UWWW | 3000 | 45 | 4D |
| SARANSK | SKX | UWPS | 2801 | 42 | 4D |
| SARATOV | GSV | UWSG | 3000 | 45 | 4D |
| SOCHI | AER | URSS | 2850 | 45 | 4E |
| STAVROPOL | STW | URMT | 2600 | 48 | 4D |
| SURGUT | SGC | USRR | 2780 | 45 | 4D |
| SYKTYVKAR | SCW | UUYY | 2500 | 50 | 4D |
| TOMSK | TOF | UNTT | 2500 | 50 | 4D |
| TYUMEN | TJM | USTR | 3000 | 45 | 4E |
| UFA | UFA | UWUU | 3760 | 60 | 4E |
| ULAN-UDE | UUD | UIUU | 2997 | 45 | 4D |
| VLADIVOSTOK | VVO | VVO | 3500 | 60 | 4E |
| VOLGOGRAD | VOG | URWW | 3280 | 50 | 4D |
| YAKUTSK | YKS | UEEE | 3400 | 60 | 4E |
| YUZHNO-SAKHALINSK | UUS | UHSS | 3400 | 60 | 4E |
| KRASNODAR | KRR | URKK | 3000 | 60 | 4E |
| ANAPA | AAQ | URKA | 2500 | 45 | 4D |
| NOVY URENGOY | NUX | USMU | 2551 | 46 | 4D |
Unique Features or Challenges
• Long Runway (3,700 m): One of the longest runways in Siberia, capable of handling heavy long-haul aircraft including B747, B777, A330 and A350.
• Major Transit Point for Cargo: Frequently used by international and Russian cargo carriers for refueling and technical stops on Europe–Asia routes.
• Harsh Winter Conditions: Temperatures can drop to –35…–40°C, requiring intensive de-icing and winter maintenance.
• Heavy Snowfall: The region experiences regular and abundant snow, demanding continuous runway cleaning during winter.
• Modern Passenger Terminal: A new terminal, opened in 2017–2018, significantly increased passenger comfort and airport capacity.
• Designated Alternate Airport: Widely used as an official alternate airport for flights operating along the Trans-Siberian air corridor.
• Strategic Geographic Location: Situated directly on key Europe–Asia air routes, offering operational advantages for cargo and long-haul flights.
• Low Airspace Congestion: The region’s airspace is less busy than in western Russia, helping reduce delays and simplify approach procedures.
Optional: Links, images, maps, or videos
Красноярск (аэропорт) — Википедия




















